New Holland E385C Crawler Excavator Service Manuals PDF
[2011-2012]Crawler Excavator New Holland earned an international reputation for superior performance, fuel efficiency, and comfort, allowing tiring to do large amounts of work. For proper operation, quality repairs, and timely service of the excavator New Holland E385C, we recommend purchasing this set of PDF service manuals.
Model:
E385C (Tier IV)
Set includes:
1. Print no. 84527569A 1st Edition English 09/11
2. Print no. 47374920A 1st Edition English 06/12
General Index:
- 1. GENERAL SAFETY INFORMATION
- Section 1 SAFETY INFORMATION
- Section 2 SAFETY PRECAUTIONS
- Section 3 SAFETY DECALS
- 2. OPERATIONAL PRINCIPLE
- Section 1 GENERAL INFORMATION
- Group 1 Specifications
- Section 2 SYSTEM
- Group 1 Mechatro Control System
- Group 2 Hydraulic System
- Group 3 Electrical System
- Section 3 COMPONENT OPERATION
- Group 1 Hydraulic Pump Assy
- Group 2 Pilot Valve
- Group 3 Control Valve
- Group 4 Swing Device
- Group 5 Travel Device
- Group 6 Swivel Joint
- Group 7 Cylinders
- Group 8 Air Conditioner system
- Group 9 Electrical Equipment
- 3. OPERATIONAL PERFORMANCE TEST
- Section 4 OPERATIONAL PERFORMANCE TEST
- Group 1 Introduction
- Group 2 Standard Performances
- Group 3 Test Procedures
- Group 4 Mechatro Controller
- 4. TROUBLESHOOTING
- Section 5 TROUBLESHOOTING
- Group 1 Troubleshooting (by error codes)
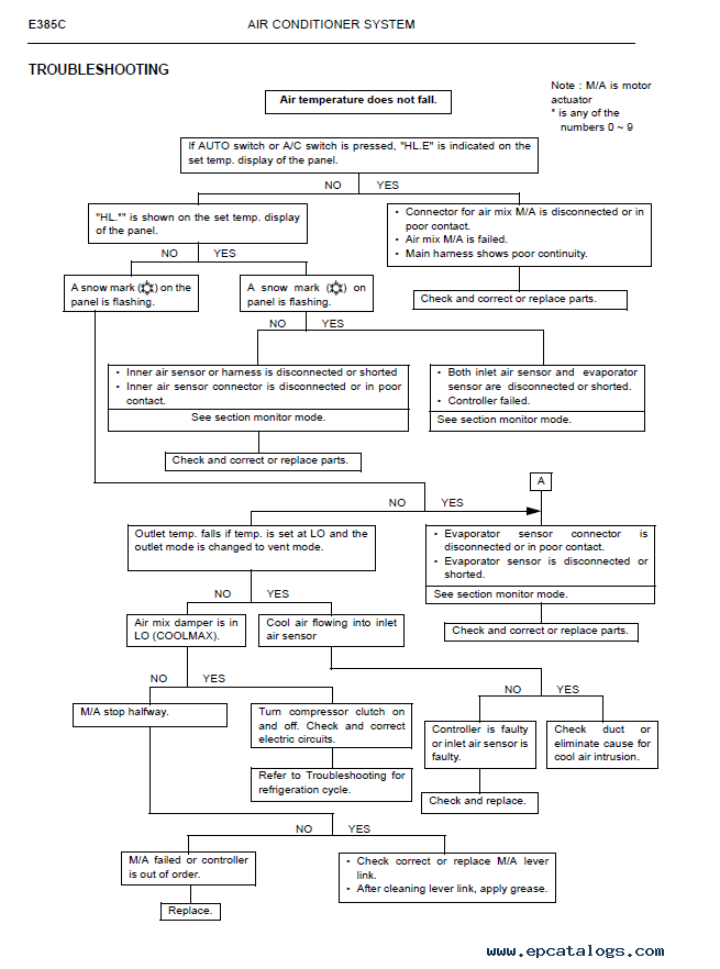
- Group 2 Troubleshooting (by trouble)
- 5. REPAIR INSTRUCTIONS
- Section 1 GENERAL INFORMATION
- Group 1 Precautions for Disassembly and Assembly
- Group 2 Tightening Torque
- Section 2 UPPERSTRUCTURE
- Group 1 Upperstructure
- Group 2 Pump Device
- Group 3 Control Valve
- Group 4 Swing Device
- Group 5 Pilot Valve
- Section 3 UNDERCARRIAGE
- Group 1 Swing Bearing
- Group 2 Travel Device
- Group 3 Swivel Joint
- Group 4 Track Adjuster
- Group 5 Front Idler
- Group 6 Upper and Lower Roller
- Group 7 Tracks
- Section 4 FRONT ATTACHMENT
- Group 1 Front attachment
Please, read and follow the instructions for maintenance and precautions, and you will avoid unexpected injuries and technical breakdowns. This is the best guide, both for experienced craftsmen and for beginners, as prepared by experts in this field. But important to read the section on safety rules.
Features of the Manual
Format: PDF
Language: English
Pages: 784 + 794
Compatible with all versions of Windows, Mac, Linux, iPhone, iPad, and Android
Service manual includes technical information and instructions, detailed diagrams, and many other. For your comfort, the manual includes thematic sections, such as:
- The “General Safety Information” part includes the recommended procedures that, if followed, can avoid the risk of accident for the operator and for staff related to the work and maintenance machine operations.
- The “Operational Principle” part includes the technical information concerning the operation of the main devices and systems.
- The “Operational Performance Test” part includes the information needed to carry out the machine operational performance test.
- The “Troubleshooting” part includes the technical information needed for troubleshooting and malfunction detection.
- The “Repair Instructions” part includes information needed for maintenance and repair of the machine, tools, and devices needed for maintenance and repair, maintenance standards, removal/installation, and assembly/disassembly procedures.
FAQs
How do I download the manual?
Buying this guide is very simple and fast: you need to click on the 'Buy Now' button and follow the further instructions. After payment of the PDF instruction, you will receive a download link. Please check your spam/junk folder if you don't see it in your inbox.
Is the manual printable?
Yes, all pages are printable for ease of use.
Still have questions?
Any questions, you can ask our managers. They will definitely help you.
Screenshots for New Holland E385C Crawler Excavator Service Manuals PDF:
Our company provides for sale original spare part catalogs, workshop manuals, diagnostic software for all models of engines, cars, trucks, buses, forklifts, tractors, harvesters, cranes, buldozers, generators, construction and agricultural machines, motorcycles. To purchase a catalog online, please add the product to your cart, fill in the contact form online. Our managers proceed your order the same day.
Related products for New Holland E385C Crawler Excavator Service Manuals PDF:
New Holland Electronic Service Tool CNH EST 9.14 [2026] Engineering Diagnostic Software
The dealer software Electronic Service Tools CNH EST 9.14 update 1 (ex v9.3, v9.4, v9.5, 9.6, 9.7) with the highest engineering access Level available for download or shipping worldwide with online support!
250$
[04/2026]
|
CNH Display Codes for the Paid Features 2023 v1.1
The app generates codes for CNH displays to unlock paid features. Codes are entered through the display
3999$
[2024]
|
CNH Approval Password Generator 2023 NBV2
CNH (Case/New Holland) Generate approval passwords for Blank ECU, ECU Reassignment, and Download Crash Recovery; Supported ECU types: EDCMS62, EDC7, CNHEDC7UC31, EDC16C39.
1199$
[11/2024]
|
CNH Firmware Decrypt Encrypt Tool (FEDT) v2022.22
CNH Firmware Encrypt & Decrypt tool 2022.22 is Windows desktop software that supports decryption and encryption for *.enc and *.cre files from CNH.
999$
[12/2023]
|





